基準軌道
まず、モデリング地心座標のための基準軌道を設定します。
月は、進行方向小惑星が2度衝突したと仮定します。
基準軌道が当初、第1衝突後、第2衝突後の3種類存在します。
そこで、モデリングデータを次のように設定します。
| 基準軌道半径:a km | 衝突位置:Ip km | |
| 当初基準軌道 a0 | 356,400 | – |
| 第1基準軌道 a1 | 360,600 | 2,800 |
| 第2基準軌道 a2 | 384,400 |
>
3,232.6054日(8.85年)で近地点移動します。
>
単振動振幅、周期率、唸り率
単振動振幅、周期率、唸り率を次のように定義します。
周期率は、衝突前と衝突後の基準軌道の軌道周期の比になります。この比率は、軌道の唸りを引き起こします。基準軌道半径の比の場合、ケプラーの第3法則を使って(3/2)乗しています。
唸り率は、軌道の唸りの周期の逆数になります。唸り率の逆数は唸り回数になります。
A1 :第1衝突による単振動振幅(= a1 – a0) km
A2 :第2衝突による単振動振幅 (=a2 – a1 – iP) km
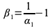
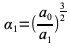
| α1 :周期率 | |
| β1 :唸り率 | |
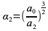
| α2 :周期率 | |
| β2 :唸り率 |
—
| 項目 | 値 |
| 第1衝突による単振動振幅 | A1=360,600 – 356,400 = 4,200 km |
| 第2衝突による単振動振幅 | A2=384,400 – 360,600 – 2,800= 21,000km |
| 周期率 | α2=(356,400 / 384,400)(3/2)=0.89275 |
| 唸り率 | β2=(1 / α) – 1 = 0.12013 |
—
地心座標モデリング
モデリングデータを、月のモデリング地心座標 計算式に代入してグラフ化すると
R’2(t)=( 4200cos(0.89275ω2t) – 2800 ) x cos(0.12013ω2t) + 21000cos(0.89275ω2t)

となります。
国立天文台地心座標
これは、国立天文台のデータを使った、次のグラフと比較とするとほぼ同じ傾向がみられます。

国立天文台のデータによる地心座標
