宇宙構造と宇宙エネルギー構造

宇宙構造と言っても、軌道を司どる構造に限定して、
本サイトでは説明していきます。
天体の軌道の仕組みが明らかになれば、
それをもとに宇宙全体の構造がわかっていくのではないかと思うわけです。
すでに、ガリレオ、ケプラー、ニュートン、アインシュタインなど、
著名な物理学者(?)が、多くの業績を残して、
宇宙船を、月や火星、また遥か遠くの天王星に送ることを可能にしました。
本サイトでは、宇宙がどうしてできたか、太陽系がどうしてできたのか。
という問題に関しては、扱いません。
というか、私にはわかりません。
ビックバンなどの理解は、
M78星雲のウルトラマンの家族を肉眼で見ようとしているくらい、
難儀の世界です。
というわけで、軌道という局所的な宇宙構造について説明していきます。

宇宙構造

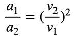
宇宙の構造を中心天体と周回天体の距離と軌道速度で考えてみます。
ケプラーの第3法則の「長半径の3乗と公転周期の2乗比率は一定」という法則でした。
この関係を使って、宇宙空間にある2体に対して、
任意の基準軌道半径a1,a2(長半径)を周回していた場合の
軌道速度 v1,v2との関係をケプラーの第3法則を使って表してみます。
それぞれの比をとってみることにします。

長半径(a km)、公転周期(T h)、公転速度(v km/h)とすると、

となるので、
任意の長半径(以降、基準軌道半径と呼びます)a1、a2の比をとってみると、

となります。
これは、左辺が「距離」の静的な比率、右辺が「速度」の動的な比率になります。
速度と、距離に関係があるということです。
この関係を、「宇宙構造」と呼ぶことにします。

この画像には alt 属性が指定されておらず、ファイル名は image.tif です
  • a1,a2:中心天体からの任意基準軌道半径
  • v1,v2:基準軌道半径a1,a2における基準軌道速度

宇宙エネルギー構造

そこで、「宇宙構造」に、両辺「質量エネルギー」を掛けてみます。
質量エネルギーは、ニュートンの質量とエネルギー変換のことで、次のように表すこととします。

  • Em:質量エネルギー(kg km/h)
  • m:質量(kg)
  • c:光速度(km/h)

そして、質量エネルギーを両辺に掛けた式は、

「宇宙エネルギー構造」は、
質量エネルギーに対して、
静的な距離の比率と、
動的な速度の比率が、
等しい。つまり、バランスしているということです。

またこの式は、v1が光速cでも成り立つので、
光速時の基準軌道半径をacとすると、
任意の基準軌道半径aとその位置の公転速度vは、

と表すことができます。
これを、「宇宙エネルギー構造」と呼ぶことにします。

静的エネルギー(Sa)

宇宙エネルギー構造の左辺は、
長さの静的な比率のエネルギーなので「静的エネルギー(Sa)」と呼びます。

  • Sa:静的エネルギー(je=kg km/h)
  • Em:質量エネルギー(je)
  • ac:光速時基準軌道半径(km)
  • a:任意の基準軌道半径(km)

となります。

また、静的エネルギー(S) x 軌道半径(a) は上式から保存されるので、
「面積エネルギー保存の法則」と呼ぶことにします。

面積エネルギー保存の法則

動的エネルギー(Ava)

宇宙エネルギーの右辺は、速さの比のエネルギーなので「動的エネルギー(Ava)」と呼びます。光速時の基準軌道半径acを使用したので、v1は光速cとなるので

  • Ava:動的エネルギー(je)
  • Em:質量エネルギー(je)
  • Va:基準軌道半径aの基準起動速度(km/h)
  • c:光速(km/h)

となります。

また、Em=mc2 より

  • m:周回天体の質量[kg]
  • va:基準軌道半径aの基準軌道速度
  • c :光速(=1.08e9 [km/h])

    となります。

光速時基準軌道半径(ac)…最小基準軌道半径

ニュートンの万有引力の法則より、周回天体の長半径aの中心天体方向のエネルギーは、

G:万有引力定数
m:周回天体質量
M:中心天体質量
a:中心天体と周回天体の距離

となります。
ここで重要なのが、中心天体方向のエネルギーは、周回天体が保持しているので、
周回天体が保持している静的エネルギーSaと等しくなります。

万有引力定数を使った中心天体方向のエネルギーと
静的エネルギー

は、同じ値になるので、

となります。
ここで比例定数

を宇宙エネルギー定数Uと定義すると

となります。
宇宙定数は、約U=7.42e-31km/kgになります。

これは、中心天体と周回天体の質量がわかれば、光速時の半径(最小基準軌道半径)がわかります。
これは、光速(c)時の基準軌道半径acは、シュワルツシルト半径の半分になります。

ブラックホール、シュワルツシルト半径、最小基準軌道半径の関係

面積エネルギー一定の法則

中心天体の周回天体が同一ならば、静的エネルギーと基準軌道半径を乗じた面積エネルギーEAは、任意の基準軌道半径ax,ayにおいて、

一定になります。これは静的エネルギー構造そのものです。

動的エネルギーと静的エネルギーの関係

動的エネルギー(Ava)と静的エネルギーの関係は、次のグラフのようになります。

静的エネルギーと動的エネルギーの関係

静的エネルギー曲線は、2体の質量がわかれあば、決まります。
そのエネルギーと周回天体の保持している動的エネルギーの比較になります。

上部へスクロール